г. Москва и Московская область, Россия
г. Москва и Московская область, Россия
УДК 614.842 Извещение о пожаре. Пожарная тревога. Техника и тактика тушения пожара. Организация тушения пожара
Статья посвящена вопросам исследования показателей пожарной опасности строительного материала - листьев бананового дерева, применяемых жителями сельских поселений провинций Вьетнама для возведения кровли жилых строений. До настоящего времени в базах данных отсутствовали исследуемые показатели, в связи с этим возникает проблема изучения особенностей развития пожаров в жилых строениях повышенной пожарной опасности, расположенных в сельских поселениях Вьетнама. Важно отметить, что на современном этапе жизни население Социалистической Республики растет, и количество проживающих людей в сельской местности увеличивается из года в год. Сегодня в сельской местности проживает порядка 62 миллионов жителей, что составляет 63 процента общего населения страны. Актуальность работы состоит в необходимости повышения уровня пожарной безопасности сельских поселений ввиду их массовой застройки жилыми строениями, имеющими высокую пожарную опасность. Пожары в сельских поселениях характеризуются быстрым распространением огня по жилой застройке и зачастую носят массовый характер. Определение показателей пожарной опасности листьев бананового дерева необходимы для проведения математического моделирования развития пожара на вышеуказанных объектах защиты, в результате которого возможно получить данные о концентрации опасных веществ, влияющих на своевременную эвакуацию жителей, мощности теплового потока горящего сооружения для подготовки последующих рекомендаций по установлению противопожарных расстояний между жилыми объектами, местах установки противопожарных преград, ограничивающих распространение пожаров, а также прогнозированию токсикологической обстановки.
пожар, сельские поселение, пожарная опасность, листья бананового дерева
Введение
В настоящее время основная часть населения Вьетнама (62 млн. жителей) проживает в сельской местности и занимается в основном сельским хозяйством - выращиванием растений, птиц, животных, заготовкой строительных материалов, а также различными иными видами деятельности[1]. Для постоянного проживания, жители сельских поселений провинций Вьетнама строят жилые строения из природных материалов, которые могут заготавливать собственными силами [2]. Ввиду того, что жилые строения построены из природных материалов, таких как древесина, ротанг, листья бананового дерева являются объектами с высокой пожарной опасностью [3]. Множество сельских поселений расположены в труднодоступных районах провинций Вьетнама, что, несомненно, влияет на своевременность прибытия подразделений пожарной охраны в случаях возникновения пожаров [4]. Дороги в сельских поселениях уездов провинций Вьетнама, в большинстве своем, не имеют твердого покрытия, что затрудняет доставку личного состава и технических средств борьбы с ним, также проблематично использовать источники противопожарного водоснабжения при организации работ по тушению пожаров [5]. Вышеуказанные проблемы приводят к массовым пожарам жилых строений с каскадным развитием по территории сельских поселений [6]. Для исследования проблематики возникновения и распространения пожаров в жилых строениях необходимо провести анализ веществ и материалов, применяемых в строительстве объектов защиты и обиходе местного населения с точки зрения их пожарной опасности.
Важно отметить, что в настоящее время отсутствуют показатели пожарной опасности листьев бананового дерева, применяемых местным населением для возведения кровли жилых строений, что, несомненно, влияет на изучение особенностей развития пожаров исследуемых объектов защиты [7]. В научной статье представлены описания экспериментов и результатов, полученных лабораторным путем на установках ВНИИПО МЧС России и Академии ГПС МЧС России (далее - Академия) [8].
На Рис.1 представлено лабораторное оборудование Академии, позволяющее провести исследование пожароопасных свойств различных материалов, применяемых в строительстве.

Рис.1. Лаборатория Академии
Общий вид лабораторного оборудования для проведения исследований пожароопасных свойств веществ и материалов (а); проведение экспериментов по исследованию пожароопасных свойств листьев бананового дерева (б)
Лабораторная установка разработана учеными Академии России (Сулейкин Е.В, Акперов Р.Г, Пузач С.В.) и имеет патент на полезную модель [9]. В отличие от традиционных методов проведения исследований, использование лабораторной установки позволяет:
- на основе полученных выходных данных осуществить классификацию материалов по уровню пожарной опасности;
- расширить базу данных горючей нагрузки веществ и материалов, используемых в различных отраслях производства и строительства;
- применить полученные показатели пожарной опасности исследуемого материала в дальнейших исследованиях динамики развития пожара во времени.
На Рис.2 представлено схематичное устройство лабораторной установки, применяемой в исследованиях пожарной опасности листьев бананового дерева.

Рис.2. Устройство лабораторной установки Академии
1 – камера сгорания установки, 2 – экспозиционная камера, 3 – переходной рукав из камеры сгорания в экспозиционную камеру, 4 – электронагреватель (ТЭН) с системой водяного охлаждения; 5- держатель исследуемого образца материала, 6- шиберные отверстия; 7- весы для измерения потери массы образца; 8- дверца экспозиционной камеры; 9- дверца со смотровым окном камеры сгорания, 10 – вентилятор установки, 11- перегородка переходного рукава
Камера сгорания лабораторной установки соединена с экспозиционной камерой посредством переходного рукава. Рост температуры в камере сгорания установки происходит за счет электронагревательного прибора (ТЭНа), для защиты от перегрева используется дополнительное устройство охлаждения (водяная рубашка). В камере сгорания установки установлен держатель для исследуемых образцов, соединенный с весами и передающий показатель изменения массы исследуемого материала в процессе проведения экспериментов.
Стоить отметить, что применяемая в экспериментальных исследованиях лабораторная установка может работать в 2 схемах пожара (замкнутой (закрытой) и открытой). Открытая схема работы установки воссоздаёт приток кислорода в камеру сгорания, имитируя открытые проёмы в помещениях. Данная схема более приближена к реальным условиям пожара. Закрытая схема исключает газообмен с внешней средой. В этих условиях воссоздаётся горение веществ и материалов в начальной стадии пожара до момента разрушения проёмов. Исходя из этого, значения, полученные при данной схеме, используются для прогнозирования опасных факторов пожара, к которым относятся:
- концентрация газов в объёмных долях, входящих в состав продуктов горения;
- удельная массовая скорость выгорания;
- температура в объеме экспозиционной камеры;
- удельное образование токсичных газов;
- удельное потребление кислорода;
- оптическая плотность дыма.
Методика проведения экспериментальных исследований по определению параметров пожарной опасности листьев бананового дерева
Экспериментальные исследования проводятся в условиях закрытой схемы пожара, исключающей газообмен с окружающей средой. Использование закрытой схемы работы установки позволяет моделировать условия горения исследуемого образца материала-листьев бананового дерева на начальном этапе развития пожара. Полученные в ходе эксперимента данные применяются для прогнозирования опасных факторов пожара [10].
Первый этап исследований состоит в подготовке экспериментальных образцов исследуемого материала. Заблаговременно, не менее чем за 12 часов до начала экспериментальных исследований нарезаются образцы, материалы, которые затем кондиционируются при комнатной температуре (20оС). Для получения точных результатов образцы исследуемого материала должны быть чистыми, без сторонних загрязнений. Пример исследуемого образца – листьев бананового дерева представлен на Рис.3.
Второй этап – подготовка лабораторного оборудования. Перед проведением лабораторного эксперимента необходимо включить вентиляцию, водяное охлаждение нагревательного элемента установки и персональный компьютер, с установленным программным обеспечением GasVision ver.7.3.7 и RsWeight ver.5.40 для обработки полученных показателей.

Рис.3. Пример образца –листьев бананового дерева для исследования на установке
Перед проведением лабораторных исследований продувается газоанализатор фирмы Drager, при необходимости производится замена фильтров грубой и тонкой очистки, после чего, с использованием гибких силиконовых трубок через фильтры газоанализатор подключается к экспозиционной камере для забора гозообразных продуктов термического разложения исследуемого образца материала. Весы и газоанализатор подключаются к персональному компьютеру для регистрации количественных данных во времени исследуемого образца с помощью вышеуказанных программ (Рис.4).

Рис.4. Подготовка лабораторного оборудования перед проведением экспериментальных исследований пожарной опасности листьев бананового дерева
Установка запитывается от электрической сети (220 В), включается блок управления нагревательного элемента, на котором выставляется температура в 635 °С при тепловом потоке 35 кВт. После проведенных действий необходимо дождаться нагрева излучателя до заданной температуры (Рис.5)

Рис.5. Нагрев излучателя лабораторной установки до заданной температуры
Третий этап. Помещаем вкладыш для образца исследуемого материала, выполненный из фольги, в камеру сгорания на подвижный держатель, установленный на весах и обнуляем весы (для учета только фактической массы материала). Далее закрываем заслонку вентиляции экспозиционной камеры лабораторной установки и помещаем в камеру сгорания заранее взвешенный образец материала-листьев бананового дерева (рисунок 6). Одновременно с проведенными действиями запускаются программы GasVision ver.7.3.7 и RsWeight ver.5.40 и начинается фиксирование значений выделяемых веществ газоанализатором с выводом на экран персонального компьютера. Образец из листьев бананового дерева нагревается в камере сгорания, постепенно происходит его термическое разложение, при этом выделяемые газообразные продукты горения вещества через переходный рукав лабораторной установки попадают в экспозиционную камеру.

Рис.6. Проведение экспериментального исследования по определению пожарной опасности материала
Загрузка в камеру сгорания образца исследуемого материала -листьев бананового дерева (а), горение исследуемого материала – листьев бананового дерева в камере сгорания (б)
Затем происходит забор газообразных продуктов горения при термическом разложении исследуемого материала с помощью газоанализатора и регистрируются значения концентрации CO (mg/m3), СО2 (mg/m3), HCN (mg/m3), О2 (%).
Из экспозиционной камеры лабораторной установки происходит забор газообразных продуктов горения газоанализатором Drager. Газоанализатор подключен к персональному компьютеру, где в режиме реального времени, с периодичностью в 3 секунды регистрируются следующие значения (Рис.7):
- концентрации газов;
-среднеобъемной температуры в экспозиционной камере T (°С);
- изменение массы исследуемого образца при проведении испытаний, Δm (г).
Эксперимент завершается, когда происходит остановка изменения массы образца на весах установки, что обозначает его полное выгорание либо при стабилизации фиксируемых значений газоанализатором.
После каждого испытания установка приводится в исходное состояние и проверяется. Если испытание проводится на нескольких образцах необходимо между каждых испытаний проветривать установку в течение не менее 30 минут, продувать газоанализатор и соединительные трубки, по которым осуществляется забор воздуха из камеры.

Рис.7. Регистрация концентрации газообразных продуктов горения при термическом разложении исследуемого материала с помощью газоанализатора Drager
Лабораторное исследование завершается при прекращении изменения массы исследуемого образца материала. В процессе воздействия температуры на исследуемый образец в камере сгорания лабораторной установки происходит его полное выгорание. Каждый эксперимент проводится несколько раз в заранее подготовленной лабораторной установке после проветривания установки и продувки газоанализатора.
Результаты проведения испытаний образцов листьев бананового дерева
По разработанной методике, с использованием лабораторной установки проведен ряд испытаний образцов материала - листьев бананового дерева. В процессе экспериментов регистрировались следующие газы, выделяемые (потребляемые) в результате термического разложения исследуемого материала:
- монооксид углерода CO (kg/m3);
- циановодород HCN (kg/m3);
- диоксид углерода СО2 (kg/m3);
- кислород О2 (%).
Исследования показали, что особую опасность, влияющую на жизнь и здоровье человека, представляют оксид углерода (СО) и циановодород (НСN).
Отметим, что перед началом проведения экспериментов образцы листьев бананового дерева предварительно были подготовлены, нарезаны, взвешены и кондиционировалось в помещении при комнатной температуре 20 °С в течении 12 часов.
Для получения достоверных результатов лабораторные исследования проводились в несколько этапов. На первом этапе подбиралась масса необходимой навески листьев бананового дерева (Рис.8).

Рис.8. Подготовка образцов исследуемого материала для проведения лабораторных исследований
Навеска весом 3,048 г. (а), навеска весом 2.904 г. (б)
В результате пробных лабораторных испытаний опытным путем были исследованы образцы листьев бананового дерева массой 10, 5, 4 и 3 грамма. Наиболее подходящей навеской исследуемого материала стала масса листьев бананового дерева в 4 грамма, при которой были получены значения, пригодные для последующей обработки (Рис.9).

Рис.9. Проведение лабораторных исследований пожарной опасности листа бананового дерева
Загрузка образца в камеру сгорания установки (а), падение массы листьев бананового дерева при термическом разложении (б и в)
На рисунке 10 представлена регистрация полученных данных газов, выделяемых при термическом материала разложении листьев бананового дерева при использовании газоанализатора Drager, персонального компьютера с установленным программным обеспечением GasVision ver.7.3.7 и RsWeight ver.5.40.

Рис.10. Регистрация концентрации газов: монооксида углерода CO (kg/m3), циановодорода HCN (kg/m3), диоксида углерода СО2 (kg/m3) (а) и определение концентрации кислорода О2 (%) (б)
При анализе продуктов горения определяют количественный выход таких веществ, как оксид углерода (CO), диоксид углерода (CO2), цианистый водород и другие соединения, исходя из состава материала.
Важно отметить, что удельный коэффициент выделения CO в каждый момент времени определяется по формуле:
где, V – внутренний объем установки, м3;
Ψ - массовая скорость выгорания горючего материала, кг/с;
dt - время, с.
В процессе термического разложения испытуемого материала происходит снижение веса образцов, с образованием остатков вещества (пепла) массой порядка 0,5 грамм (Рис.11).

Рис.11. Остатки (пепел) испытуемых образцов листьев бананового дерева после завершения экспериментов
В результате проведенной серии лабораторных экспериментов получены:
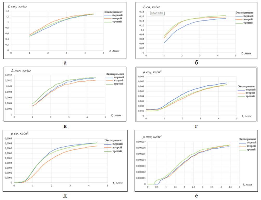
- зависимости удельных коэффициентов образования и плотности диоксидауглерода - СO2, оксида углерода CO (угарный газ), циановодорода - HCN отвремени при термическом разложении листьев бананового дерева (Рис.12);

Рис.12. Зависимости удельных коэффициентов образования СO2(а), CO(б), HCN(в)
Зависимости удельных коэффициентов плотности газов СO2(г), СO(д), HCN(е) от времени при термическом разложении
- зависимости потери массы образца от времени при термическом разложении листьев бананового дерева, разности масс образцов материала последующих от предыдущих от времени испытания, удельной массовой скорости газификации (yyд, кг/ (м2 с) горючего материала от времени с начала горения (Рис.13).

Рис.13. Зависимости удельных коэффициентов потери массы образца от времени при термическом разложении образцов (а),
зависимость разности масс образцов материала последующих от предыдущих от времени испытания (б), удельной массовой скорости газификации (Ψyд, кг/ (м2 с) горючего материала от времени с начала горения (в)
Обобщенные результаты проведенных лабораторных исследований при термическом разложении листов бананового дерева представлены в Таблица.
Таблица. Обобщенные результаты лабораторных исследований
|
Эксперимент |
Параметры, полученные при лабораторных экспериментах |
|||
|
Удельная массовая скорость выгорания, кг/м2с |
Выделение оксид углерода (СО2), кг/кг |
Выделение монооксид углерода (СО), кг/кг |
Выделение циана (HCN) кг/кг |
|
|
1 |
0,0040 |
1,279 |
0,150 |
0,00129 |
|
2 |
0,0045 |
1,294 |
0,157 |
0,00119 |
|
3 |
0,0042 |
1,287 |
0,164 |
0,00129 |
|
Среднеарифметические значения |
||||
|
|
0,0042 |
1,286 |
0,157 |
0,00125 |
Выводы лабораторных исследований
Применяемая при проведении натурных экспериментов лабораторная установка позволила получить и обработать показатели концентрации токсичных продуктов, выделяемых при термическом разложении испытуемого материала - листьев бананового дерева, необходимых для дальнейшего моделирования развития пожара в жилых строениях высокой пожарной опасности сельских поселений Вьетнама. В результате проведенной серии экспериментов получены концентрации токсичных газов (CO, HCN), а также концентрация СO2 и O2 , тепловой поток и температурные показатели при горении (тлении) образцов листьев бананового дерева, что позволило проследить динамику процесса горения и разложения исследуемого материала.
Экспериментально проведенные по методике испытания образцов листьев бананового дерева показали возможность получения зависимостей удельных коэффициентов образования газов и плотности оксида углерода, диоксида углерода и циановодорода от времени термического разложения. В процессе проведения экспериментов зафиксирована динамика потери массы образца и изменения температуры.
Выполненные исследования пожарной опасности листьев бананового дерева пополнят базу данных пожарной нагрузки и позволят выполнить достоверное моделирование пожара объектов жилого строительства Вьетнама, с участием листьев бананового дерева.
1. Чан, Д. Ч., Фогилев, И. С. Об исследовании вопросов пожарной обстановки в городах и сельских населенных пунктов Вьетнама/ Сборник материалов XII Международной научно-практической конференции молодых учёных и специалистов «Проблемы техносферной безопасности – 2023». М.: Академия ГПС МЧС России, 2023. С. 40-44.
2. Чан, Д. Ч., Фогилев, И. С. Влияние застройки сельских населенных пунктов Вьетнама на состояние пожарной безопасности поселений/ Сборник в ХХХIV Международную научно-практическую конференцию «Предотвращение. Спасение. Помощь». М.: Академия гражданской защиты МЧС России, 2024. С 183-189.
3. Чан, Д. Ч., Фогилев, И. С., Мироненко Р.В. Влияние застройки сельских поселений Вьетнама на распространение пожаров и способы их ограничения / Научный журнал «Технологии техносферной безопасности» М.: Академия ГПС МЧС России, 2024. – № 4(106). – С. 110-126. DOI: https://doi.org/10.25257/TTS.2024.4.106.110-126
4. Чан, Д. Ч., Фогилев, И. С., Андросенко С.Г. К вопросу состояния дорожно–транспортной инфраструктуры в сельской местности провинции Вьетнама при реагировании пожарно-спасательных подразделений к месту вызова/ Сборник материалов VIII Международной научно-практической конференции посвященной Всемирному дню гражданской обороны «Гражданская оборона на страже мира и безопасности». М.: Академия ГПС МЧС России, 2024. С 39-43. EDN: https://elibrary.ru/RGISZT
5. Чан, Д. Ч., Фогилев, И. С., Андросенко С.Г. К вопросу организации противопожарного водоснабжения во Вьетнаме / Сборник Материалы IX международной научно-практической конференции. «Пожаротушение: проблемы, технологии, инновации» М.: Академия ГПС МЧС России, 2024. С. 181-188.
6. Чан, Д. Ч., Фогилев, И. С Массовые пожары жилых строений в сельской местности Вьетнама/ Современные проблемы обеспечения безопасности, Сборник материалов XXVI Международной научно-практической конференции. Екатеринбург, 2024. C 114 - 119. EDN: https://elibrary.ru/PAAHXI
7. Чан, Д. Ч. Предотвращение каскадного развития пожаров в удаленных сельских поселениях Вьетнама подразделениями пожарной охраны и добровольными пожарными / Д. Ч. Чан, И. С. Фогилев // Техносферная безопасность. – 2025. – № 2(47). – С. 24-37. – EDN NVBAVD.
8. Чан, Д. Ч. Определение коэффициента дымообразования при горении (тлении) листьев бананового дерева/ Материалы тридцать четвёртой международной научно-технической конференции "Системы безопасности – 2025": в 2 ч. Ч. 1. – М.: Академия ГПС МЧС России, 2025. 264-267 с.
9. Патент РФ на полезную модель № 174688. Установка для определения пожарной опасности конденсированных материалов при их термическом разложении / патентообладатели: Сулейкин Е.В., Акперов Р.Г., Пузач С.В.; заявка 20.04.2017; регистрация 26.10.2017; Бюллетень № 30–2017.
10. Пузач С. В., Доан В.М., Нгуен Т.Д., Сулейкин Е.В., Акперов Р.Г. Образование, распространение и воздействие на человека токсичных продуктов горения при пожаре в помещении. Монография / под ред. С. В. Пузача. // М.: Академия ГПС МЧС России, 2017. p. 130 с.



